Conversation
|
You will also need to install the following packages:
Here are some preliminary scores just to see if it runs ok:
Do not rely on the results above yet as they are trained only on 3% and 1% of the training sample for FFNN and DBN, respectively. I also had an issue where the file names generated for the plots were too long for DBN. I had to bypass the error by commenting out some lines in |
Also moved some hardcoded parameters to the yaml file and did some cleanups. DBN uses v1 internally but I found a workaround so that you don't need to have two different TF installations. Just make sure you have TF_v2 installed. It will work for both the FFNN and DBN.
|
Following @joezuntz's request, the PR is modified to have the changes inside the class only, rather than in the wider challenge machinery. FYI, I noticed that I mistakenly have a data scaler different than the one I used ( Please let me know if there are any issues running the code, thanks! |
|
@enourbakhsh I'm putting together the combined analysis of the submitted classifiers. I'd been holding off on using this one as it looked more complicated, but I've now had a go. I'm afraid your entry breaks the challenge machinery by ignoring the supplied training and validation data and trying to load in its own. The whole point of the structure we aked you to write against was to allow us flexibility in how we ran the classifiers, for example by splitting up validation data into different chunks, experimenting with how much training data was needed, etc. So I'm afraid I won't be able to consider these entries unless you're able to modify the code to run on the data passed to it, rather than loading it itself. I'm happy to give you the time to do this and I hope you're able to as the methods look promising. If the main issue is to include the band triplets then you could easily generate those from a dictionary input of the data and turn it into. If the main issue is the size of the training data then you can cut down on that internally within the class too. |
|
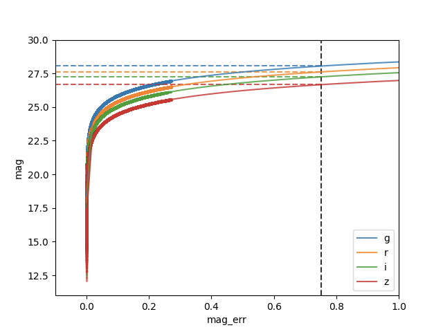
Thanks @joezuntz for the comment. I made sure that all the changes are inside the class only but if I understand correctly you want to have full control of the input data through the wider challenge machinery. The main issue is to include the band triplets and the treatment of non-detections. I remember it was not totally clear to me how to do the latter without loading the training and validation data from scratch. I'll look into it. |
Modify the code to run on the data passed to it, rather than loading it itself.
Appropriate changes in the config file









This is an implementation of the Feed Forward Neural Network (FFNN) in the
tf.kerasAPI and the Deep Belief Network (DBN). In FFNN, the data simply passes through the different input nodes and the hidden nodes (if any) until it reaches the output nodes. A DBN is formed by stacking several restricted Boltzmann machines (RBMs) with connections between the layers but not between units within each layer.Not fine-tuned yet.