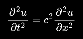
This is a GPU-based wave equation simulation with the finite difference method.
-
Notifications
You must be signed in to change notification settings - Fork 0
shaazib-tanvir/wave-simulation
About
A GPU based simulation of the Wave Equation
Topics
Resources
Stars
Watchers
Forks
Releases
No releases published
Packages 0
No packages published
